幸运168飞艇(中国)唯一官方网站

欢迎来到济南火龙热陶瓷有限责任公司【隔热保温套】官网!
返回幸运168飞艇(中国)唯一官方网站咨询热线:400-0531-696 / 18053169090
咨询热线:
400-0531-696
18053169090
技术文章

供热管道保温材料的选择及经济保温层厚度计算

浏览:责任编辑:火龙节能发布日期:2018-03-27

  中国北方地区冬季采暖,是由热源通过管道将90℃以上的热水输送至居民小区的用户或小区的换热站,由于东北地区冬季室外温度较低,管道在输送过程中,热媒温度高于管外环境温度和冻土层温度,热量将不断的通过供热管道的壁面传递给管外空气或冻土层,这部分热量称为管道散热损失。因此,要通过对供热管道进行保温来减少这项热损失。
  
  目前,集中供热系统的热水管网,即使有良好的保温措施,其散热损失仍约占总输入热量的5%~8%。在未实现热电联产的中小城镇,供热形式仍为独立小锅炉分片供热,因保温材料选择的不合理,施工质量达不到设计要求,保温层破损维修不及时等原因,其散热损失会大大增加,而且这种热损失是持续存在的,它不仅会造成热媒参数的变化而影响供热质量,还会造成较大的能源浪费。根据国家规定的城市供热管网输送热效率达到90%以上的要求,合理选择供热管网保温材料、保温层厚度及保温方法,对有效减少热媒在输送过程中的散热损失,节约燃料消耗尤为重要。
  
  1.管道保温材料的选择
  
  由于中国地域辽阔,气候条件差异较大,在东北地区,冬季室外温度低,应考虑选用高效保温材料对供热管网进行保温。保温范围应按《热网规范》规定的,供热介质设计温度高于40℃的热力管道、阀门、设备一般应进行保温。其目的是减少散热损失,使热媒能维持一定的温度和压力,以满足生产和生活用热要求,节约燃料,并保证热力管道不受外界影响。目前,热力管道工程常用的保温材料种类较多,有石棉、岩棉、珍珠岩、玻璃棉、泡沫橡塑、聚氨酯硬质泡沫塑料等制品,按照国家对保温材料选用的现行标准和有关规定,保温材料的导热系数不得大于0.12(w/m·k);容重不得大于300kg/m3;含水率小于7.5%;抗压强度不小于0.4 MPa。为了满足上述要求,在选择保温材料时应参考下列条件进行选择。(1)导热系数小;(2)容重小;(3)坚固耐用,有一定的抗压强度;(4)能耐一定温度,不燃或难燃;(5)抗湿性强,吸水率低,不会因水泡受潮而变质损坏;(6)原料来源广,制造施工方便,价格低廉。
  
  几种常用保温材料的性能见表1。
 
  
  涨知识才涨工资!快来学习供热管道保温材料选择及保温层厚度计算
  
  表1 中介绍了部分常用保温材料的性能参数,表内未列的其它保温材料的性能参数可在有关设计手册中查到。
  
  根据国家标准和规范对供热管道保温材料的选择要求,考虑材料的综合性能和工程中实际应用的保温效果,聚氨酯硬质泡沫塑料和泡沫橡塑材料在近年来被广泛用于供热管道保温工程。
  
  聚氨酯硬质泡沫塑料主要用于外网供热管道的保温,其优点是,导热系数小、容重轻、吸水率低,有一定的抗压强度。聚氨酯发泡后因附着力较强,管道外表面可不做防腐处理,节省防腐材料和人工费,同时外层的塑料保护层可以起到防水阻燃,保护聚氨酯材料的完好,延长使用寿命等作用,使保温材料的维修更换费用大大降低。
  
  泡沫橡塑管壳,由于该材料的抗压强度低,目前主要用于地沟、管井内的采暖干管和支管的保温,其优点是导热系数小、容重轻、便于安装,并容易对阀门、三通、弯头等不规则管件进行吻合包裹,达到减少散热损失的目的,也是供热管道理想的保温材料。
  
  2.经济合理保温层厚度的简便计算
  
  供热管道保温层厚度是由技术和经济两方面因素来决定的。所谓“保温层经济厚度”是指包括供热管道保温结构的投资、折旧费、年运行维修费和管道保温后的散热损失费在内的总费用为最小时的保温层厚度,保温层厚度不够,散热损失增大,造成能源的浪费。保温层厚度的增加,可以减少散热损失,节省燃料,减少运行费用,然而确增加了保温结构的一次性投资。所以,合理的确定保温层厚度既节约了能源又减少了工程造价,是供热管网工程十分重要的环节。
  
  根据《设备及管道保温设计导则》GB /T8175中管道允许最大散热损失的规定,见表2。
 
  
  涨知识才涨工资!快来学习供热管道保温材料选择及保温层厚度计算
  
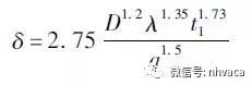
  管道的保温层厚度与管道的直径、管道表面温度、材料的导热系数、管道允许最大的散热损失有关。经济合理的保温层厚度的简便计算方法,可按下式计算:
 
  
  式中:D—管道外径(mm);λ—保温材料的导热系数(w/m.k) 查表得出; t1—管道外表面温度,(℃)约等于管道内介质温度; q—允许最大散热损失(w /m) ,由表2 查得;δ—保温层厚度(mm)。
  
  由上式可以看出,管道外径、保温材料的导热系数、输送的介质温度一定时,保温层的厚度是随管道的散热损失的变化而变化的,因此按照表2,国家规定的允许最大散热损失确定保温层厚度,是经济合理的。
  
  3.结束语
  
  合理的选择供热管道保温材料及保温层厚度,降低供热管道的散热损失,在当前节能减排的新形势下十分重要,为了达到降低能源消耗的目的,在设计过程中应根据各地区的气候、材料的性能、保温效果等方面综合考虑,选择合理的保温材料和经济的保温层厚度。